Generalized Gamma Distribution with Threshold
-
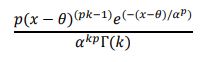
Probability Density Function (PDF)
-
Cumulative Distribution Function (CDF)
-
where 𝛤(𝛽) is the Gamma function and 𝛾(𝑘, 𝑧) is the lower incomplete Gamma function.
-
• Range 0 ≤ 𝑥 - 𝜃 < ∞
• Scale Parameter 𝛼 > 0
• Shape1 parameter 𝑘 > 0
• Shape1 parameter 𝑝 > 0
• Threshold parameter 𝜃 < 𝑚𝑖𝑛(𝑥)
Web Demos
Our CTO and Co-Founder, John Noguera, regularly hosts free Web Demos featuring SigmaXL and DiscoverSim
Click here to view some now!
Contact Us
Phone: 1.888.SigmaXL (744.6295)
Support: Support@SigmaXL.com
Sales: Sales@SigmaXL.com
Information: Information@SigmaXL.com






