Fatigue Life Distribution

  • Home /
  • Fatigue Threshold
img

Fatigue Life Distribution with Threshold

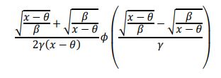
Probability Density Function (PDF)

img

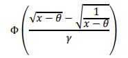
Cumulative Distribution Function (CDF)

img

where 𝜙(𝑥) and Φ(𝑥) are respectively the PDF and CDF of the standard normal distribution.


Range 0 ≤ 𝑥 - 𝜃 < ∞

Scale parameter 𝛽 > 0

Shape parameter 𝛾 > 0

Threshold parameter 𝜃 < 𝑚𝑖𝑛(𝑥)


Notes: This is also known as the Birnbaum Saunders distribution.

Define, Measure, Analyze, Improve, Control

img

Simulate, Optimize, Realize

img