F Distribution with Threshold

  • Home /
  • F Distribution with Threshold
img

F Distribution with Threshold

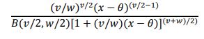
Probability Density Function (PDF)

img

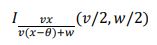
Cumulative Distribution Function (CDF)

img

where 𝐵(𝑎, 𝑏) is the Beta function, and where 𝐼x(𝑎, 𝑏) is the regularized incomplete Beta function.


Range 0 ≤ 𝑥 - 𝜃 < ∞

Shape1 parameter 𝜈 > 0, integer, first degrees of freedom

Shape2 parameter 𝑤 > 0, integer, second degrees of freedom

Threshold parameter 𝜃 < 𝑚𝑖𝑛(𝑥)

Define, Measure, Analyze, Improve, Control

img

Simulate, Optimize, Realize

img